近日,我校化学化工学院黄风林、刘欢科研团队以刘欢为第一作者、西安石油大学为第一单位在能源环境领域国际权威学术期刊《Journal of Cleaner Production》(JCR、中科院分区双一区TOP期刊,IF=11.1)上发表题为《Comparative life cycle energy, water consumption and carbon emissions analysis of deep in-situ gasification based coal-to-hydrogen with carbon capture and alternative routes》的高水平论文。

针对我国“富煤、缺油、少气”的能源禀赋,创新煤炭开发利用技术以降低煤基产品的全生命周期碳排放是实现“双碳”目标的现实选择。耦合CCS/CCUS(碳捕集与封存/碳捕集、利用及封存)的深部煤炭原位气化制氢技术路线不仅可以高效、经济利用丰富的深部煤炭资源,保护环境,而且有望成为一种理想的煤基低成本制氢路线,受到理论界和工业界的广泛关注。
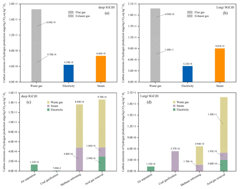
该成果基于我国“3060”双碳目标与氢能发展战略背景,利用世界上唯一的千米级深部煤炭原位气化试验数据,以LCA(生命周期评价)方法为基础,结合过程模拟手段,定量衡量、对比深部煤炭原位气化制氢与现有工业规模化石能源制氢路线从原料到氢气产品产出、涵盖所消耗过程能源生产与利用过程的生命周期中碳排放、水资源消耗与外部化石能源消耗等水平。同时,针对煤基氢气生产二氧化碳排放严重的弊端,结合深部煤炭原位气化制氢路线二氧化碳排放特征,设计不同的捕集方案并比较减排效果。结果表明,从生命周期角度看,深部煤炭原位气化制氢相比传统煤炭地面气化制氢可以减少16.4%的碳排放并降低18.1%的水资源消耗。在碳约束发展背景下,该工作可为制定深部煤炭原位气化制氢技术的示范、应用提供科学基础和评价依据,同时在以可再生能源为代表的“绿氢”应用面临挑战的当下,助力我国制氢业由“灰氢”向“蓝氢”过渡,加快“双碳”目标的实现。


论文链接:
https://www.sciencedirect.com/science/article/abs/pii/S0959652623032870